Sebuah gelombang berjalan mempunyai persamaan y = 0,02 sin π (4t – x), y dan x dalam cm - Mas Dayat

Sebuah gelombang berjalan mempunyai persamaan y = 0,02 sin π (4t – x), y dan x dalam cm

Sebuah gelombang berjalan mempunyai persamaan = 0,02 sin π (4– x), y dan x dalam cm dan dalam sekon. Tentukan besar simpangan di titik yang berjarak 5 cm dari titik asal pada saat telah bergetar selama 1 sekon!

Jawab:
Diketahui:
Persamaan gelombangnya: 
    y = 0,02 sin π (4– x)
    = 5 cm
    = 1 sekon

Ditanya
   = …. ?

Dijawab:
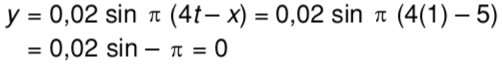
Untuk mengetahui simpangan pada jarak 5 cm dan t = 1 s, kita bisa melakukan perhitungan seperti berikut:
Jadi simpangan pada jarak 5 cm dan t = 1 s adalah 0
------------#------------
Semoga Bermanfaat
Jangan lupa komentar & sarannya
Email: nanangnurulhidayat@gmail.com
WA /LINE : 081 669 2375

Post a Comment for "Sebuah gelombang berjalan mempunyai persamaan y = 0,02 sin π (4t – x), y dan x dalam cm"