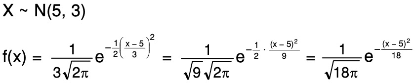
Fungsi distribusi normal variabel acak X yang berdistribusi normal N(5, 3)
Fungsi distribusi normal variabel acak X yang berdistribusi normal N(5, 3) adalah ….
Pembahasan:
Jawaban: E
----------------#----------------
Semoga Bermanfaat
Jangan lupa komentar & sarannya


Post a Comment for "Fungsi distribusi normal variabel acak X yang berdistribusi normal N(5, 3)"