Tuliskan dalam bentuk definisi fungsi nilai mutlak! f(x) = |x + 4| - Mas Dayat

Tuliskan dalam bentuk definisi fungsi nilai mutlak! f(x) = |x + 4|

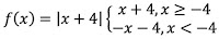
Tuliskan dalam bentuk definisi fungsi nilai mutlak!
f(x) = |x + 4|

Jawab:
Soal di atas bisa kita selesaikan dengan cara berikut:

----------------#----------------

Semoga Bermanfaat
Jangan lupa komentar & sarannya
Email: nanangnurulhidayat@gmail.com
Kunjungi terus: masdayat.net OK! :)

Post a Comment for "Tuliskan dalam bentuk definisi fungsi nilai mutlak! f(x) = |x + 4|"