|x – 2| + |5 – 3x| = 11. Tentukan himpunan penyelesaiannya!
|x – 2| + |5 – 3x| = 11. Tentukan himpunan penyelesaiannya!
Jawab:
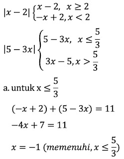
Kita cari definisi fungsinya terlebih dahulu:
----------------#----------------
Semoga Bermanfaat
Jangan lupa komentar & sarannya
Email: nanangnurulhidayat@gmail.com


1 comment for "|x – 2| + |5 – 3x| = 11. Tentukan himpunan penyelesaiannya!"
| - 9 |