Jika g =10 m/s², benda bermassa 3 kg, maka Energi Mekanik benda saat bergerak dengan kecepatan 2
Jika g =10 m/s², benda bermassa 3 kg, maka Energi Mekanik benda saat bergerak dengan kecepatan 2 m/s pada ketinggian 3 meter di atas tanah adalah ....
A. 18 joule
B. 36 joule
C. 64 joule
D. 72 joule
E. 96 joule
Pembahasan:
Diketahui:
g =10 m/s²
m = 3 kg
v = 2 m/s
h = 3 m
Ditanya:
Em = …. ?
Dijawab:
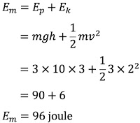
Energi mekanik benda bisa kita cari dengan menggunakan rumus berikut:
Jadi energi mekanik benda tersebut adalah 96 joule.
Jawaban: E
----------------#----------------
Semoga Bermanfaat
Jangan lupa komentar & sarannya
Email: nanangnurulhidayat@gmail.com

Post a Comment for "Jika g =10 m/s², benda bermassa 3 kg, maka Energi Mekanik benda saat bergerak dengan kecepatan 2 "