Jika G merupakan suatu konstanta dari persamaan gaya tarik menarik antara dua benda yang bermassa
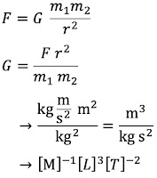
Jika G merupakan suatu konstanta dari persamaan gaya tarik menarik antara dua benda yang bermassa m1 dan m2 serta terpisah jarak sejauh r (F = G ma mb / r2) maka, dimensi dari G adalah ….
A. [M]-1[L]3[T]-2
B. [M]-1[L]3[T]-3
C. [M][T]-3
D. [M][L]2
E. [M]-2[L]-1[T]-3
Pembahasan:
Ditanya:
Dimensi G = …. ?
Dijawab:
Rumusnya seperti berikut:
Jadi dimensi dari G adalah [M]-1[L]3[T]-2
Jawaban: a
----------------#----------------
Semoga Bermanfaat
Jangan lupa komentar & sarannya
Email: nanangnurulhidayat@gmail.com

Post a Comment for "Jika G merupakan suatu konstanta dari persamaan gaya tarik menarik antara dua benda yang bermassa"