Persamaan garis lurus yang melalui titik (0,-2) dan m = 2 adalah
Persamaan garis lurus yang melalui titik (0,-2) dan m = 2 adalah ….
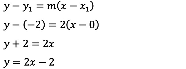
Pembahasan:
x1 = 0
y1 = -2
m = 2
Jadi persamaan garis lurusnya adalah y = 2x - 2.
----------------#----------------
Semoga Bermanfaat
Jangan lupa komentar & sarannya
Email: nanangnurulhidayat@gmail.com

Post a Comment for "Persamaan garis lurus yang melalui titik (0,-2) dan m = 2 adalah"