Jarak antara titik A dan garis HF pada gambar kubus berikut adalah
Jarak antara titik A dan garis HF pada gambar kubus berikut adalah ….
A. 4√3 cmB. 4√2 cm
C. 2√6 cm
D. 2√3 cm
E. 2√2 cm
Pembahasan:
Perhatikan ilustrasi berikut:
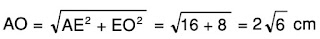
Jarak antara titik A dan garis HF yaitu panjang AO.
Panjang AE = 4 cm
Panjang EO = ½ EG = 2√2 cm
----------------#----------------
Semoga Bermanfaat
Jangan lupa komentar & sarannya
Email: nanangnurulhidayat@gmail.com
Kunjungi terus: masdayat.net OK! 😁



Post a Comment for "Jarak antara titik A dan garis HF pada gambar kubus berikut adalah"