Simpangan baku data 6, 10, 7, 3, 5, 4, 3, 2, 6, 4 adalah
Simpangan baku data 6, 10, 7, 3, 5, 4, 3, 2, 6, 4 adalah ....
A. √3
B. √5
C. √6
D. √8
E. √10
Pembahasan:
Kita buat tabelnya terlebih dahulu agar mudah menghitung hasil akhirnya:
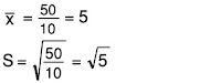
Selanjutnya kita hitung rata-ratanya dan simpangan bakunya:
Jadi simpangan bakunya adalah √5.
Jawaban: B
----------------#----------------
Semoga Bermanfaat
Jangan lupa komentar & sarannya
Email: nanangnurulhidayat@gmail.com
Kunjungi terus: masdayat.net OK! 😁


Post a Comment for "Simpangan baku data 6, 10, 7, 3, 5, 4, 3, 2, 6, 4 adalah"