Himpunan penyelesaian dari persamaan (2x2 – 3x – 3)x + 5 = (2x2 – 3x – 3)2x – 3 adalah
Himpunan penyelesaian dari persamaan (2x2 – 3x – 3)x + 5 = (2x2 – 3x – 3)2x – 3 adalah ….
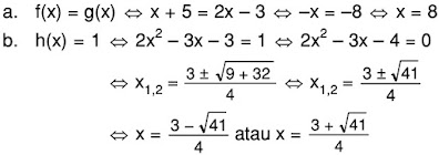
Pembahasan:
Soal di atas bisa kita selesaikan dengan cara berikut:
(2x2 – 3x – 3)x + 5 = (2x2 – 3x – 3)2x – 3
h(x) = 2x2 – 3x – 3
f(x) = x + 5
g(x) = 2x – 3
----------------#----------------
Semoga Bermanfaat
Jangan lupa komentar & sarannya
Email: nanangnurulhidayat@gmail.com
Kunjungi terus: masdayat.net OK! 😁




2 comments for "Himpunan penyelesaian dari persamaan (2x2 – 3x – 3)x + 5 = (2x2 – 3x – 3)2x – 3 adalah"
adalah...
(1/2) ^ (x ^ 2 + 5x + 2) >= (1/4) ^ (x ^ 2 + 3x - 2) adalah....