Nilai sin 255° =
Nilai sin 255° = ….
A. -¼ (√2 + √6)
B. -¼ (√2 – √6)
C. -¼ (√6 – √2)
D. ¼ (√2 + √6)
E. ¼ (√3 + √6)
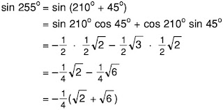
Pembahasan:
Kita uraikan 255° menjadi 210° + 45° seperti berikut:
Jadi nilai sin 255° = -¼ (√2 + √6).
Jawaban: A
----------------#----------------
Semoga Bermanfaat
Jangan lupa komentar & sarannya
Email: nanangnurulhidayat@gmail.com
Kunjungi terus: masdayat.net OK! 😁

Post a Comment for "Nilai sin 255° ="