Perhatikan gambar rangkaian listrik berikut! Jika kuat arus yang melalui rangkaian 2,2 A, kapasitas kapasitor C
Perhatikan gambar rangkaian listrik berikut!
Jika kuat arus yang melalui rangkaian 2,2 A, kapasitas kapasitor C besarnya ....A. 1/600π F
B. 1/1.200π F
C. 1/3.000π F
D. 1/5.600π F
E. 1/6.000π F
Pembahasan:
Diketahui:
V = 220 volt
R = 80 Ω
f = 50 Hz
I = 2,2 A
Ditanya:
C = …. ?
Dijawab:
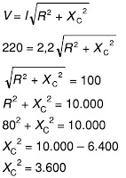
Pertama-tama kita hitung reaktansi kapasitifnya:
Jadi kapasitas kapasitor C besarnya 1/6.000π F.
Jawaban: E
----------------#----------------
Semoga Bermanfaat
Jangan lupa komentar & sarannya
Email: nanangnurulhidayat@gmail.com
Kunjungi terus: masdayat.net OK! 😁



Post a Comment for "Perhatikan gambar rangkaian listrik berikut! Jika kuat arus yang melalui rangkaian 2,2 A, kapasitas kapasitor C"