Sekeping uang logam dilemparkan sebanyak 10 kali. tentukan peluang muncul gambar sebanyak: a. 2 kali
Sekeping uang logam dilemparkan sebanyak 10 kali. tentukan peluang muncul gambar sebanyak:
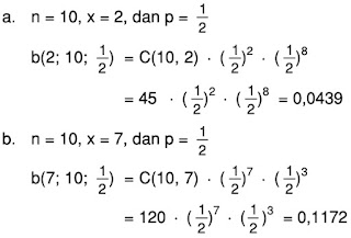
a. 2 kali
b. 7 kali
Jawab:
Soal di atas bisa kita selesaikan dengan cara berikut:
----------------#----------------
Semoga Bermanfaat
Jangan lupa komentar & sarannya
Email: nanangnurulhidayat@gmail.com
Kunjungi terus: masdayat.net OK! 😁

Post a Comment for "Sekeping uang logam dilemparkan sebanyak 10 kali. tentukan peluang muncul gambar sebanyak: a. 2 kali"