Diketahui persamaan lingkaran x2 + y2 + 10x - 6y - 20 = 0 dan x2 + y2 + 2x - 4y - 48 = 0. Tentukan
Diketahui persamaan lingkaran x2 + y2 + 10x - 6y - 20 = 0 dan x2 + y2 + 2x - 4y - 48 = 0. Tentukan persamaan garis kuasa dari lingkaran!
Jawab:
L1: x2 + y2 + 10x - 6y - 20 = 0
L2: x2 + y2 + 2x - 4y - 48 = 0
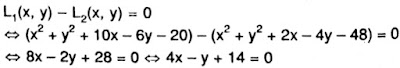
Persamaan garis kuasa dari lingkaran tersebut bisa kita cari dengan cara berikut:
Jadi persamaan garis kuasanya adalah 4x - y + 14 = 0.
----------------#----------------
Semoga Bermanfaat
Jangan lupa komentar & sarannya
Email: nanangnurulhidayat@gmail.com
Kunjungi terus: masdayat.net OK! 😁

Post a Comment for "Diketahui persamaan lingkaran x2 + y2 + 10x - 6y - 20 = 0 dan x2 + y2 + 2x - 4y - 48 = 0. Tentukan "