Sebuah benda jatuh dari ketinggian 6 meter dari atas tanah. Berapakah kecepatan benda tersebut pada saat
Sebuah benda jatuh dari ketinggian 6 meter dari atas tanah. Berapakah kecepatan benda tersebut pada saat mencapai ketinggian 1 meter dari tanah jika percepatan gravitasi bumi 10 m/s2?
Pembahasan:
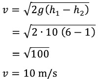
Diketahui:
h1 = 6 m
h2 = 1 m
g = 10 m/s2
Ditanya:
v = …. ?
Dijawab:
Cara pertama:
Kita cari dengan menggunakan hukum kekekalan energi:
Cara kedua:
Menggunakan rumus gerak jatuh bebas:
Jadi kecepatan benda tersebut pada saat mencapai ketinggian 1 meter dari tanah adalah 10 m/s.
----------------#----------------
Semoga Bermanfaat
Jangan lupa komentar & sarannya
Email: nanangnurulhidayat@gmail.com
Kunjungi terus: masdayat.net OK! 😁



Post a Comment for "Sebuah benda jatuh dari ketinggian 6 meter dari atas tanah. Berapakah kecepatan benda tersebut pada saat"