Resultan ketiga gaya pada gambar berikut adalah
Resultan ketiga gaya pada gambar berikut adalah ….
A. 0B. 2 N
C. 2√3 N
D. 3 N
E. 3√3 N
Pembahasan:
Diketahui:
Lihat gambar!
Ditanya:
R = …. ?
Dijawab:
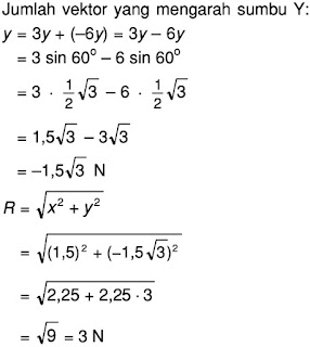
Perhatikan ilustrasi penguraian vektor berikut:
Jadi resultan ketiga gaya pada gambar berikut adalah 3 N.
Jawaban: D
----------------#----------------
Semoga Bermanfaat
Jangan lupa komentar & sarannya
Email: nanangnurulhidayat@gmail.com
Kunjungi terus: masdayat.net OK! 😁



Post a Comment for "Resultan ketiga gaya pada gambar berikut adalah"