cos 2x – sin x = 0 untuk 0 ≤ x ≤ 2π
Himpunan penyelesaian persamaan cos 2x – sin x = 0 untuk 0 ≤ x ≤ 2π adalah ….
A. {π/2, π/3, π/6}
B. {π/6, 5π/6, 3π/2}
C. {π/2, π/6, 7π/6}
D. {7π/6, 4π/3, 11π/6}
E. {4π/3, 11π/6, 2π}
Pembahasan:
cos 2x – sin x = 0
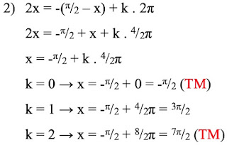
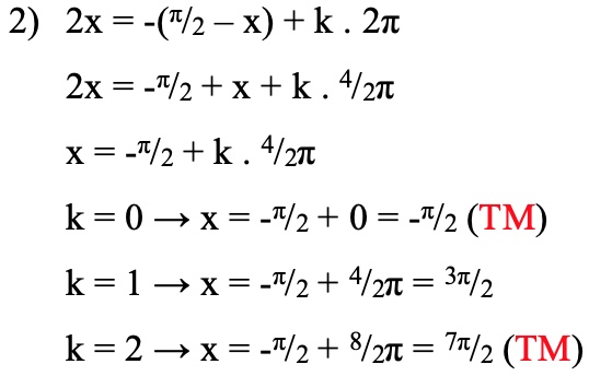
cos 2x = sin x = cos (π/2 – x), sehingga diperoleh:
Jadi himpunan penyelesaianya adalah { π/6, 5π/6, 3π/2}
Jawaban: B
----------------#----------------
Semoga Bermanfaat
Jangan lupa komentar & sarannya
Email: nanangnurulhidayat@gmail.com
Kunjungi terus: masdayat.net OK! 😁


Post a Comment for "cos 2x – sin x = 0 untuk 0 ≤ x ≤ 2π"