Suatu benda dijatuhkan dari sebuah menara dengan selang waktu untuk tiba di tanah adalah t = (3,0 ± 0,1) s
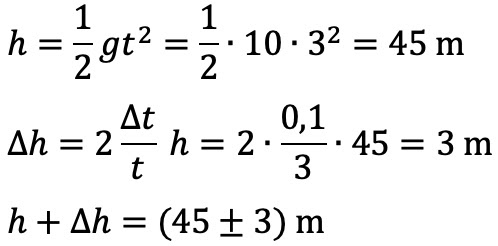
Suatu benda dijatuhkan dari sebuah menara dengan selang waktu untuk tiba di tanah adalah t = (3,0 ± 0,1) s. Jika percepatan gravitasi g diambil 10 m/s2, ketinggian menara di atas tanah dilaporkan sebagai …. (ketinggian menara hdirumuskan sebagai h = ½gt2)
A. (45,0 ± 0,1) m
B. (45,0 ± 0,3) m
C. (45,0 ± 0,5) m
D. (45,0 ± 1) m
E. (45 ± 3) m
Pembahasan:
Diketahui:
t = (3,0 ± 0,1) s
g = 10 m/s2
h = ½gt2
Ditanya:
h ± ∆h = …. ?
Dijawab:
Soal di atas bisa kita selesaikan dengan cara berikut:
Jadi ketinggian menara di atas tanah dilaporkan sebagai h ± ∆h = (45 ± 3) m.
Jawaban: E
----------------#----------------
Semoga Bermanfaat
Jangan lupa komentar & sarannya
Email: nanangnurulhidayat@gmail.com
Kunjungi terus: masdayat.net OK! 😁

1 comment for "Suatu benda dijatuhkan dari sebuah menara dengan selang waktu untuk tiba di tanah adalah t = (3,0 ± 0,1) s"