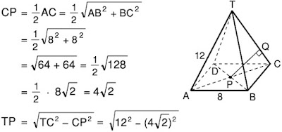
Perhatikan gambar limas berikut! Limas segi empat beraturan T.ABCD mempunyai panjang rusuk alas 8 cm dan rusuk tegak 12 cm
Perhatikan gambar limas berikut!
Limas segi empat beraturan T.ABCD mempunyai panjang rusuk alas 8 cm dan rusuk tegak 12 cm. Titik P merupakan perpotongan garis AC dan BD. Tentukan jarak antara titik P dan garis TC!Jawab:
Jarak titik P dan garis TC adalah PQ.
Jadi jarak titik P dan garis TC adalah 4/3√13 cm.
----------------#----------------
Semoga Bermanfaat
Jangan lupa komentar & sarannya
Email: nanangnurulhidayat@gmail.com



Post a Comment for "Perhatikan gambar limas berikut! Limas segi empat beraturan T.ABCD mempunyai panjang rusuk alas 8 cm dan rusuk tegak 12 cm"