Sebuah kumparan terdiri dari 50 lilitan, fluks magnet dalam kumparan berubah sebesar 5 x 10-3 weber
Sebuah kumparan terdiri dari 50 lilitan, fluks magnet dalam kumparan berubah sebesar 5 x 10-3 weber dalam selang waktu 10 ms (milisekon). Hitunglah ggl induksi pada kumparan tersebut!
Pembahasan:
Diketahui:
N = 50 lilitan
∆Φ = 5 x 10-3 weber
∆t = 10 ms = 10 x 10-3 s
Ditanya:
ε = …. ?
Dijawab:
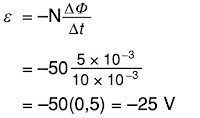
Ggl induksi pada kumparan bisa kita cari dengan menggunakan rumus berikut.
Jadi ggl induksi pada kumparan tersebut adalah -25 volt
----------------#----------------
Semoga Bermanfaat
Jangan lupa komentar & sarannya
Email: nanangnurulhidayat@gmail.com

Post a Comment for "Sebuah kumparan terdiri dari 50 lilitan, fluks magnet dalam kumparan berubah sebesar 5 x 10-3 weber"