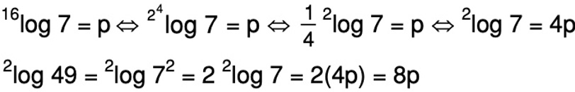
2log 49
Jika 16log 7 = p, nyatakan logaritma berikut dalam p!
2log 49
Jawab:
Pertama-tama kita uraikan 16log 7 = p terlebih dahulu:
----------------#----------------
Semoga Bermanfaat
Jangan lupa komentar & sarannya
Email: nanangnurulhidayat@gmail.com

Post a Comment for "2log 49"