Dua buah muatan q1 dan q2 masing-masing +2 μC dan -8 μC dipisahkan sejauh 4 cm satu sama lain. Jika
Dua buah muatan q1 dan q2 masing-masing +2 μC dan -8 μC dipisahkan sejauh 4 cm satu sama lain. Jika nilai k = 9 x 109Nm2/C2, besar dan arah gaya elektrostatis yang dialami kedua muatan adalah ….
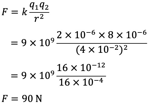
Pembahasan:
Diketahui:
q1 = + 2 µC = + 2 x 10-6 C
q2 = - 8 µC = - 8 x 10-6 C
r = 4 cm = 4 x 10-2 m
Ditanya:
F = …. ? arah gaya …. ?
Dijawab:
Karena kedua muatan berbeda, jadi kedua muatan tarik-menarik.
Gaya elektrostatisnya bisa kita cari dengan menggunakan rumus:
Jadi besar dan arah gaya elektrostatis yang dialami kedua muatan adalah 90 N dan saling tarik-menarik.
----------------#----------------
Semoga Bermanfaat
Jangan lupa komentar & sarannya
Email: nanangnurulhidayat@gmail.com

Post a Comment for "Dua buah muatan q1 dan q2 masing-masing +2 μC dan -8 μC dipisahkan sejauh 4 cm satu sama lain. Jika"