Dua buah roda yaitu roda A dan roda B masing-masing jari-jari nya 20 cm dan 12 cm, digabungkan
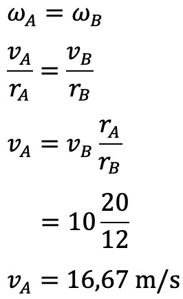
Dua buah roda yaitu roda A dan roda B masing-masing jari-jari nya 20 cm dan 12 cm, digabungkan sehingga berputar pada sumbu yang sama. Jika kecepatan roda B 10 m/s, tentukan besar kecepatan roda A!
Pembahasan:
Diketahui:
rA = 20 cm
rB = 12 cm
vB = 10 m/s
Ditanya:
vA = …. ?
Dijawab:
Karena kedua roda satu poros, maka berlaku:
Jadi besar kecepatan roda A adalah 16,67 m/s.
----------------#----------------
Semoga Bermanfaat
Jangan lupa komentar & sarannya
Email: nanangnurulhidayat@gmail.com

Post a Comment for "Dua buah roda yaitu roda A dan roda B masing-masing jari-jari nya 20 cm dan 12 cm, digabungkan"