Sebuah partikel bergerak dengan 20 m/s, kemudian kecepatan diperlambat sebesar 2 m/s2 dalam waktu 5
Sebuah partikel bergerak dengan 20 m/s, kemudian kecepatan diperlambat sebesar 2 m/s2 dalam waktu 5 sekon. Berapa jarak yang ditempuh partikel dalam waktu tersebut?
A. 100 m
B. 75 m
C. 80 m
D. 50 m
E. 25 m
Pembahasan:
Diketahui:
v0 = 20 m/s
a = 2 m/s2
t = 5 s
Ditanya:
x = …. ?
Dijawab:
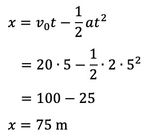
Soal di atas bisa kita cari dengan menggunakan rumus GLBB diperlambat seperti berikut:
Jadi jarak yang ditempuh partikel dalam waktu 5 sekon adalah 75 m.
Jawaban: B
----------------#----------------
Semoga Bermanfaat
Jangan lupa komentar & sarannya
Email: nanangnurulhidayat@gmail.com

Post a Comment for "Sebuah partikel bergerak dengan 20 m/s, kemudian kecepatan diperlambat sebesar 2 m/s2 dalam waktu 5"