Tentukan koordinat bayangan dari titik berikut! B(-7, 4) oleh translasi T = (2 3)

Tentukan koordinat bayangan dari titik berikut!

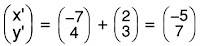
B(-7, 4) oleh translasi T = (2  3)

Jawab:

Bentuk perhitungannya adalah:

Jadi koordinat bayangannya adalah B'(-5, 7).

----------------#----------------

Semoga Bermanfaat
Jangan lupa komentar & sarannya
Email: nanangnurulhidayat@gmail.com
Kunjungi terus: masdayat.net OK! :)

Post a Comment for "Tentukan koordinat bayangan dari titik berikut! B(-7, 4) oleh translasi T = (2 3)"