a. nP4 = 5.050 b. n + 1P3 = 9 x nP2

Tentukan nilai n yang memenuhi setiap bentuk permutasi berikut!

a.     nP4 = 5.050

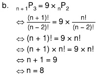
b.     n + 1P3 = 9 x nP2

Jawab:

Kita lakukan perhitungan seperti berikut untuk mengetahui nilai n nya:


----------------#----------------

Semoga Bermanfaat
Jangan lupa komentar & sarannya
Email: nanangnurulhidayat@gmail.com
Kunjungi terus: masdayat.net OK! :)

2 comments for "a. nP4 = 5.050 b. n + 1P3 = 9 x nP2"

Anonymous November 23, 2022 at 8:20 AM Delete Comment
a. 10×9×8×7=5.040
Anonymous January 25, 2024 at 6:56 AM Delete Comment
10x9x8x7 is 5040 not 5050