Sebuah satelit cuaca beratnya 200 N sedang mengelilingi bumi dengan orbit 3/2R

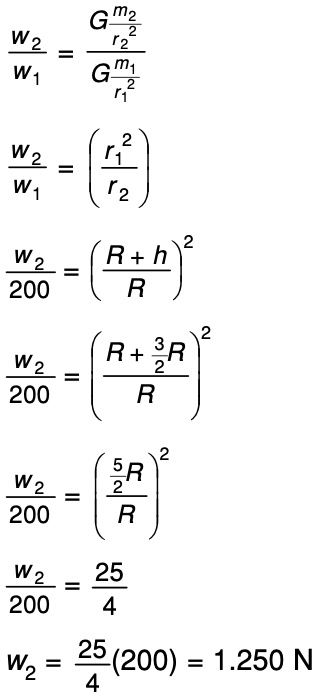
Sebuah satelit cuaca beratnya 200 N sedang mengelilingi bumi dengan orbit 3/2R (R = jari- jari bumi). Berat satelit jika di permukaan bumi adalah ....

     A.   200 N

     B.    1.250 N

     C.    2.000 N

     D.   12.500 N

     E.    25.000 N

Pembahasan:

Diketahui:

     w1 = 200 N

     r1 = h = + 3/2R = 5/2 R

     r2 = R

Ditanya:

      w2 = …. ? 

Dijawab:

Kita bisa gunakan perbandingan rumus gaya gravitasi Newton untuk menyelesaikan soal di atas:

Jadi berat satelit jika di permukaan bumi adalah 1.250 N.

Jawaban: B

----------------#----------------

Semoga Bermanfaat
Jangan lupa komentar & sarannya
Email: nanangnurulhidayat@gmail.com
Kunjungi terus: masdayat.net OK! 😁

2 comments for "Sebuah satelit cuaca beratnya 200 N sedang mengelilingi bumi dengan orbit 3/2R"

Anonymous June 5, 2022 at 8:00 PM Delete Comment
Di buku sy ngk ada jawaban 1.2050
Anonymous June 4, 2023 at 3:59 PM Delete Comment
Itu 3/2 jadi 5/2 gimana