Diketahui fungsi f(x) = x + 1, g(x) = x2 – 5x – 3, dan h(x) = 3x – 1. Tentukan:

Diketahui fungsi f(x) = x + 1, g(x) = x2 – 5x – 3, dan h(x) = 3x – 1. Tentukan:

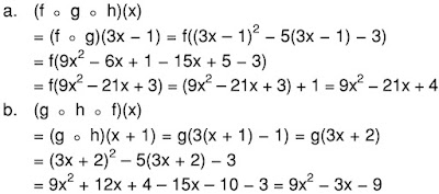
a.     (f o g o h)(x)

b.     (g o h o f)(x)

Jawab:

f(x) = x + 1

g(x) = x2 – 5x – 3

h(x) = 3x – 1

----------------#----------------

Semoga Bermanfaat
Jangan lupa komentar & sarannya
Email: nanangnurulhidayat@gmail.com
Kunjungi terus: masdayat.net OK! 😁

Post a Comment for "Diketahui fungsi f(x) = x + 1, g(x) = x2 – 5x – 3, dan h(x) = 3x – 1. Tentukan:"