Nyatakan vektor a = (3 -4 -2) dan b = (-1 -2 6) sebagai kombinasi linear dari i, j, dan k! - Mas Dayat

Nyatakan vektor a = (3 -4 -2) dan b = (-1 -2 6) sebagai kombinasi linear dari i, j, dan k!

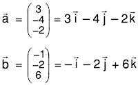
Nyatakan vektor a = (3  -4  -2) dan b = (-1  -2  6) sebagai kombinasi linear dari i, j, dan k!

Jawab:

Kita bisa lakukan seperti berikut:

----------------#----------------

Semoga Bermanfaat
Jangan lupa komentar & sarannya
Email: nanangnurulhidayat@gmail.com
Kunjungi terus: masdayat.net OK! 😁

Post a Comment for "Nyatakan vektor a = (3 -4 -2) dan b = (-1 -2 6) sebagai kombinasi linear dari i, j, dan k!"