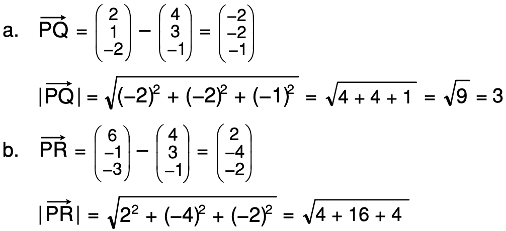
Diketahui segitiga PQR dengan P(4, 3, -1), Q(2, 1, -2), dan R(6, -1, -3). Tentukan:
Diketahui segitiga PQR dengan P(4, 3, -1), Q(2, 1, -2), dan R(6, -1, -3). Tentukan:
a. panjang PQ
b. panjang PR
c. proyeksi skalar ortogonal vektor PQ pada vektor PR
d. proyeksi vektor ortogonal vektor PQ pada vektor PR
Jawab:
Segitiga PQR dengan P(4, 3, -1), Q(2, 1, -2), dan R(6, -1, -3).
----------------#----------------
Semoga Bermanfaat
Jangan lupa komentar & sarannya
Email: nanangnurulhidayat@gmail.com
Kunjungi terus: masdayat.net OK! 😁



Post a Comment for "Diketahui segitiga PQR dengan P(4, 3, -1), Q(2, 1, -2), dan R(6, -1, -3). Tentukan:"