Diketahui vektor u = (2 1 4) dan v = (-3 -5 7). Tentukan:
Diketahui vektor u = (2 1 4) dan v = (-3 -5 7). Tentukan:
a. Nilai u . v
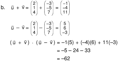
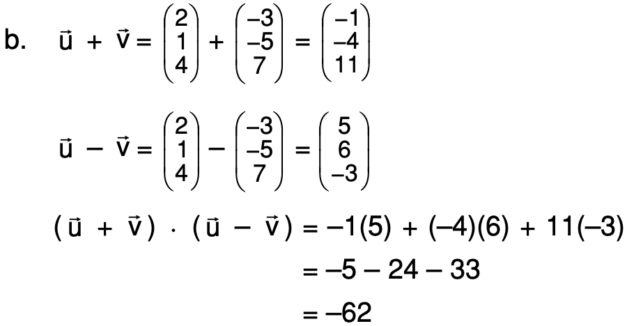
b. Hasil (u + v) . (u – v)
Jawab:
Kita bisa melakukan perhitungan seperti berikut:
a. u . v = 2 (-3) + 1 (-5) + 4 . 7
= -6 – 5 + 28
u . v = 17
----------------#----------------
Semoga Bermanfaat
Jangan lupa komentar & sarannya
Email: nanangnurulhidayat@gmail.com
Kunjungi terus: masdayat.net OK! 😁

Post a Comment for "Diketahui vektor u = (2 1 4) dan v = (-3 -5 7). Tentukan:"