Sebuah kubus bersuhu 727°C memiliki panjang rusuk 2 meter. Emisivitas kubus tersebut adalah 0,2
Sebuah kubus bersuhu 727°C memiliki panjang rusuk 2
meter. Emisivitas kubus tersebut adalah 0,2. Tentukan laju kalor yang
dipancarkan setiap sekonnya! (σ = 5,67 x 10-8 W/m2K4)
Pembahasan:
Diketahui:
T = 727°C + 273 = 1.000K
ε = 0,2
σ = 5,67 x 10-8 W/m2K4
A = 2 x 2 = 4 m2
Ditanya:
Q/t = …. ?
Dijawab:
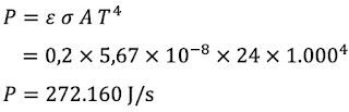
Besar laju kalor yang dipancarkan setiap sekonnya bisa kita cari dengan menggunakan persamaan:
Pembahasan:
Diketahui:
T = 727°C + 273 = 1.000K
ε = 0,2
σ = 5,67 x 10-8 W/m2K4
A = 2 x 2 = 4 m2
Ditanya:
Q/t = …. ?
Dijawab:
Besar laju kalor yang dipancarkan setiap sekonnya bisa kita cari dengan menggunakan persamaan:
Jadi laju kalor yang dipancarkan setiap sekonnya 272.160 J/s
------------#------------
Semoga Bermanfaat
Jangan lupa komentar & sarannya
Email: nanangnurulhidayat@gmail.com
Email: nanangnurulhidayat@gmail.com

Post a Comment for "Sebuah kubus bersuhu 727°C memiliki panjang rusuk 2 meter. Emisivitas kubus tersebut adalah 0,2"