Sebuah meriam kuno diletakkan di atas sebuah kendaraan. Berat kendaraan termasuk meriam
Perhatikan gambar di samping!
Pembahasan:
Diketahui:
mk = 2.000 kg
vk = 0
vp = 0
vp’ = 400 m/s
mp = 3 kg
Ditanya:
vk’ = …. ?
Dijawab:
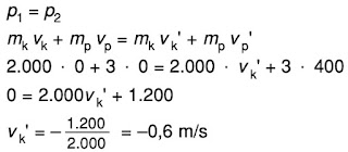
Besar kecepatan kendaraan akibat tolakan peluru bisa kita cari dengan menggunakan hukum kekekalan momentum.
Jadi besar kecepatan kendaraan akibat tolakan peluru adalah 0,6 m/s
Sebuah meriam kuno diletakkan di atas sebuah kendaraan. Berat kendaraan termasuk meriam sebesar 2.000 kg. Kendaraan mula-mula diam. Setelah meriam menembakkan peluru, kendaraan mulai bergerak. Hitunglah kecepatan kendaraan akibat tolakan peluru jika kecepatan peluru 400 m/s dan massanya 3 kg!
Pembahasan:
Diketahui:
mk = 2.000 kg
vk = 0
vp = 0
vp’ = 400 m/s
mp = 3 kg
Ditanya:
vk’ = …. ?
Dijawab:
Besar kecepatan kendaraan akibat tolakan peluru bisa kita cari dengan menggunakan hukum kekekalan momentum.
Bernilai negatif karena arah kendaraan berlawanan dengan arah gerak peluru
Jadi besar kecepatan kendaraan akibat tolakan peluru adalah 0,6 m/s
----------------#----------------
Semoga Bermanfaat
Jangan lupa komentar & sarannya


Post a Comment for "Sebuah meriam kuno diletakkan di atas sebuah kendaraan. Berat kendaraan termasuk meriam"