Nilai sin α pada gaambar berikut adalah
Nilai sin α pada gaambar berikut adalah ….
A. 1/5√5
B. 2/5√5
C. 3/5√5
D. ½
E. ½√5
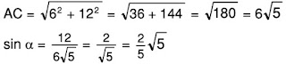
Pembahasan:
Pertama-tama kita hitung panjang AC dengan menggunakan phitagoras:
Jawaban: B
----------------#----------------
Semoga Bermanfaat
Jangan lupa komentar & sarannya
Email: nanangnurulhidayat@gmail.com


Post a Comment for "Nilai sin α pada gaambar berikut adalah"