Lampu pijar dapat dianggap berbentuk bola. Jari-jari lampu pijar pertama 3 kali lampu pijar kedua. Suhu
Lampu pijar dapat dianggap berbentuk bola. Jari-jari lampu pijar pertama 3 kali lampu pijar kedua. Suhu lampu pijar pertama 67°C dan suhu lampu pijar kedua 407°C. Tentukan perbandingan daya radiasi lampu pertama terhadap lampu kedua!
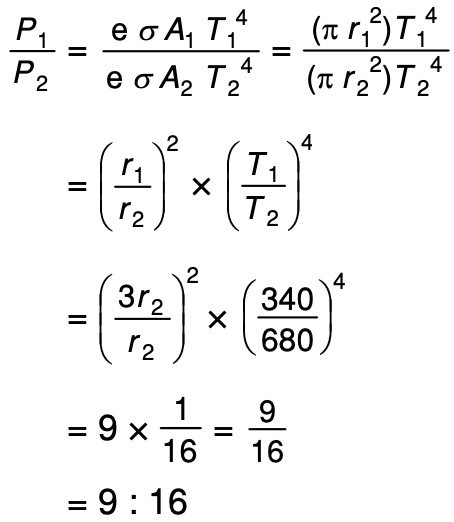
Pembahasan:
Diketahui:
r1 = 4r2
T1 = 67°C + 273 = 340 K
T2 = 407°C + 273 = 680 K
Ditanya:
P1 : P2 = …. ?
Dijawab:
Perbandingan daya radiasi bisa kita cari dengan menggunakan rumus berikut:
Jadi perbandingan daya radiasi lampu pertama terhadap lampu kedua adalah 9 : 16.
----------------#----------------
Semoga Bermanfaat
Jangan lupa komentar & sarannya
Email: nanangnurulhidayat@gmail.com
Kunjungi terus: masdayat.net OK! 😁

Post a Comment for "Lampu pijar dapat dianggap berbentuk bola. Jari-jari lampu pijar pertama 3 kali lampu pijar kedua. Suhu"