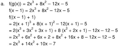
Diketahui (f o g)(x) = 2x3 + 8x2 – 12x – 5. Tentukan: January 30, 2022 Post a Comment Diketahui (f o g)(x) = 2x3 + 8x2 – 12x – 5. Tentukan:a. f(x) jika g(x) = x – 1b. g(x) jika f(x) = 2x + 3Jawab:(f o g)(x) = 2x3 + 8x2 – 12x – 5----------------#----------------Semoga BermanfaatJangan lupa komentar & sarannyaEmail: nanangnurulhidayat@gmail.comKunjungi terus: masdayat.net OK! 😁 Share : Post a Comment for "Diketahui (f o g)(x) = 2x3 + 8x2 – 12x – 5. Tentukan:"
Post a Comment for "Diketahui (f o g)(x) = 2x3 + 8x2 – 12x – 5. Tentukan:"