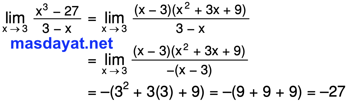
lim x→3 x3 – 27 / 3 – x

Hitunglah nilai limit fungsi-fungsi berikut!

lim x→3 x3 – 27 / 3 – x

Jawab:

Kita bisa lakukan perhitungan seperti berikut:

----------------#----------------

Semoga Bermanfaat
Jangan lupa komentar & sarannya
Email: nanangnurulhidayat@gmail.com
Kunjungi terus: masdayat.net OK! 😁

Post a Comment for "lim x→3 x3 – 27 / 3 – x"