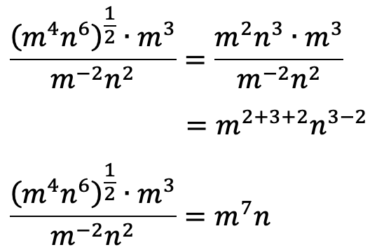
Sederhanakan notasi bilangan berpangkat berikut. (m4 n6)1/2 . m3 / m-2 n2

Sederhanakan notasi bilangan berpangkat berikut.

(m4 n6)1/2 . m3 / m-2 n2

Pembahasan:

Kita bisa lakukan penyederhanaan berikut:

----------------#----------------

Semoga Bermanfaat
Jangan lupa komentar & sarannya
Email: nanangnurulhidayat@gmail.com
Kunjungi terus: masdayat.net OK! 😁

Post a Comment for "Sederhanakan notasi bilangan berpangkat berikut. (m4 n6)1/2 . m3 / m-2 n2"