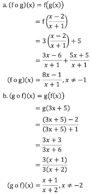
Diketahui fungsi f: R → R dan g: R → R dengan f(x) = 3x + 5 dan g(x) = x - 2/x + 1. Tentukan
Diketahui fungsi f: R → R dan g: R → R dengan f(x) = 3x + 5 dan g(x) = x - 2/x + 1. Tentukan:
a. (f o g)(x)
b. (g o f)(x)
Jawab:
f(x) = 3x + 5
g(x) = x - 2/x + 1
Kita bisa lakukan perhitungan seperti berikut:
++++++++++++++++++++++++++
Semoga Bermanfaat dan Berkah
Jangan Lupa Belajar Terus
Ingat Cita-Cita, Orang Tua, dan Keluarga

Post a Comment for "Diketahui fungsi f: R → R dan g: R → R dengan f(x) = 3x + 5 dan g(x) = x - 2/x + 1. Tentukan"